九游ag网页版直接进入_九游(中国)

站内搜索

企业动态

企业动态

融汇四海 能济天下

艾坦姆合金成功通过法国船级社认证

2025-06-12 责任编辑:管理员

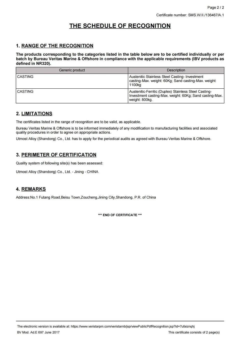
近日,艾坦姆合金公司正式通过法国船级社(Bureau Veritas,简称BV)严格的奥氏体-铁素体双相不锈钢铸造工厂认证。

00024.jpg

据悉,此次认证由全球船舶与海洋工程领域极具公信力的法国船级社(BV)授予,是对艾坦姆合金在双相不锈钢材料研发、精密铸造工艺、全过程质量控制体系等综合实力的全方位认可。双相不锈钢因其兼具高强度、优异的耐腐蚀性(尤其是耐氯化物应力腐蚀开裂)及良好焊接性能,被视为船舶制造、海洋平台、深海装备及苛刻化工环境中的关键结构材料,其制造技术难度极高,准入认证是进入国际高端市场的核心通行证。

00025.jpg

此次认证的通过,不仅是对该公司自身技术实力的肯定,也标志着艾坦姆合金的生产体系与产品质量达到了国际顶尖船级社的严苛标准,更意味着合金公司正式跻身全球高端装备制造的核心舞台。

未来,合金公司将以此次BV认证为全新起点,持续深耕高端合金材料领域,以创新驱动和精益制造为核心,积极参与全球高端市场竞争与合作,专注高端特种合金材料的研发,继续秉持“质量第一、客户至上”的原则,不断提升产品质量和服务水平,不断创新发展,为客户提供更优质、更可靠的产品和服务。

/图丨李兴希(山东盛源)

咨询留言

受理本司相关的咨询、意见、建议、投诉等事宜,请填写真实个人信息,以便于沟通联络。